Uso de material biodegradable para encapsular fertilizantes agrícolas
La utilización de material biodegradable para encapsular fertilizantes agrícolas contribuye a una agricultura sostenible, actualmente ya no una opción sino una necesidad
Beatriz Riverón, Bioquímico farmacéutica
Uno de los problemas ambientales graves en la actualidad son los residuos de fertilizantes, pesticidas y reguladores del crecimiento que la agricultura deja en el suelo, especialmente en las unidades de producción a gran escala. Además de que estos agroquímicos podrían, en muchos casos, ser sustituidos por alternativas ambientalmente racionales y sostenibles, existe el agravante de que generalmente se aplican en cantidades muy superiores a las necesarias, con el fin de compensar las posibles pérdidas por volatilización, solubilización o lixiviación.
Los EEF (del inglés “enhanced efficiency fertilizers”) o materiales fertilizantes de eficiencia mejorada, son alternativas para mejorar la eficacia de los agroquímicos en el suelo y la planta, reduciendo el desperdicio y la contaminación ambiental.
En el caso específico de los fertilizantes, una forma de reducir la cantidad de material utilizado, promover su eficiencia y minimizar al máximo el impacto ambiental es encapsular los nutrientes con recubrimientos biodegradables, que garantizan su liberación controlada y gradual, al agua y al suelo.
Los fertilizantes están compuestos por sales inorgánicas muy solubles, que se disuelven fácilmente con la lluvia. El encapsulado permite liberarlos de forma controlada y gradual, lo que permite reducir la cantidad utilizada y el desperdicio.
Resolver el problema mediante la encapsulación es un paso importante para obtener EEF. Estos presuponen el ajuste de varios parámetros:
– la liberación de nutrientes y su absorción por el cultivo,
– la biodegradabilidad del material de recubrimiento, y
– la rentabilidad del producto.
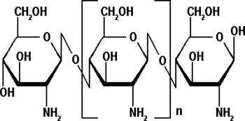
Para llegar al material apropiado para el revestimiento, se partió del quitosano, un polímero de base biológica, abundante, renovable y de fácil de obtención.

Estructura química del quitosano
El quitosano es un polisacárido catiónico producido a través de la desacetilación de la quitina, un polisacárido que se encuentra en el exoesqueleto de los crustáceos, mediante un proceso de alcalinización a altas temperaturas. Tiene muy buenas propiedades mecánicas, combinadas con la capacidad de formar geles, fibras, películas y microesferas, que posibilitan las más diversas aplicaciones. Es sumamente atractivo por su biocompatibilidad, biodegradabilidad y no toxicidad.
Los fertilizantes de eficiencia mejorada son un tema importante para los materiales sostenibles.
Es fundamental que el nutriente liberado y la biodegradación en el suelo tengan sinergia para asegurar la inocuidad de los mismos.
La difusión de nutrientes y la degradación de la matriz deben de ocurrir concomitantemente, de modo que, la cantidad de nutrientes entregados coincidirá con la cantidad consumida por la planta, la matriz se degradará y no quedará ningún residuo en el suelo.
En los últimos 20 años, los materiales a base de polisacáridos han llamado la atención en la investigación de EEF. La biodegradabilidad, la no toxicidad, la solubilidad en agua, la capacidad de hinchamiento y la facilidad de modificación química hacen que estos polímeros sean adecuados para aplicaciones agrícolas.
Los polisacáridos más utilizados son el quitosano, el almidón y el alginato.
El mecanismo de liberación depende de la relajación de las cadenas poliméricas por el hinchamiento de la matriz seguido de la difusión de nutrientes. Los EEF basados en polímeros deben diseñarse como estructuras más empaquetadas y menos porosas para evitar el contacto inmediato del fertilizante con el agua circundante, mejorando la retención del fertilizante.
Se prepararon microesferas y microcápsulas a base de quitosano para recubrir los fertilizantes. La liberación de nutrientes del fertilizante en el suelo, se evaluó midiendo la conductividad eléctrica del suelo y correlacionando ese parámetro con la liberación de nutrientes.
Se constató que la liberación está relacionada tanto con el proceso de difusión, es decir, con la entrada de agua y salida de nutrientes, como con la biodegradación de la matriz. Se observó que, durante los primeros 30 días, ocurrió el proceso de liberación, relacionado con el mecanismo de hinchamiento, difusión y biodegradación. Después de 40 días, todo el nutriente fue liberado y la biodegradación ocurrió solo en la matriz.
Los nutrientes utilizados fueron sales de potasio (nitrato y fosfato) además de micronutrientes como cobre, manganeso, hierro etc., sin encontrarse relevantes alteraciones del sistema microbiota del suelo durante y después de la biodegradación del polímero.
Fuentes
https://pt.wikipedia.org/wiki/Quitosana Acceso el 16/02/2022.
Chiaregato , C. G.; França , D.; Messa , L. L.; Pereira , T. D. S.; Faez, R.
A review of advances over 20 years on polysaccharide-based polymers applied as enhanced efficiency fertilizers. (2022).
Carbohydr Polym, 279:119014.
Angelo , L. M.; França , D.; Faez, R. (2021).
Biodegradation and viability of chitosan-based microencapsulated fertilizers.
Carbohydr Polym, 257:117635.
França , D.; Medina , A. F.; Messa , L. L.; Souza , C. F.; Faez, R. (2018).
Chitosan spray-dried microcapsule and microsphere as fertilizer host for swellable – controlled release materials.
Carbohydr Polym, 196:47-55.
Tadeu Arantes, J. (2022) Cientistas usam material biodegradável para encapsular fertilizantes agrícolas
https://agencia.fapesp.br/cientistas-usam-material-biodegradavel-para-encapsular-fertilizantes-agricolas/37918/
Imagen
https://br.freepik.com/ Acceso el 16/02/2022.
